
복리는 원금에 이자가 붙고, 그 이자에도 다시 이자가 붙는 방식의 이자 계산 방법입니다. 이는 단리와 차별되는 중요한 특징으로, 시간이 지날수록 이자 수익이 기하급수적으로 증가하는 효과를 낳습니다. 복리는 장기 투자에서 자산을 크게 증대시킬 수 있는 중요한 요소입니다.
복리에 대해 본격적으로 알아보기 전에, 복리에 발언한 유명인들의 몇 가지 발언을 소개해 드리겠습니다.
1. 알버트 아인슈타인
복리는 세계 8대 불가사의 중 하나이다.
아인슈타인은 복리를 매우 강력하고 중요한 개념으로 인식했습니다. 그의 말은 복리의 강력한 힘을 강조하며, 시간이 지남에 따라 복리의 효과가 기하급수적으로 커짐을 알리고 있습니다. 실제로 그는 복리가 이론적으로 가장 효율적인 자산 증식 방법 중 하나라고 봤습니다.
2. 워런 버핏
돈을 벌기 위한 최고의 방법은 복리의 마법을 믿고, 그것을 통해 자산을 키워나가는 것이다.
워런 버핏은 자산 축적의 중요한 비결로 복리를 강조합니다. 그는 장기적으로 자산을 투자하여 복리 효과를 극대화하는 방식으로 세계 최고의 투자자로 인정받고 있습니다. 그의 투자 철학은 복리 효과를 최대한 활용하는 데 중점을 둡니다.
3. 벤자민 프랭클린
복리는 시간이 지나면 마법처럼 자산을 불려준다.
프랭클린은 복리의 중요성을 일찍이 인식하고, 그것이 장기적인 재정적 성공에 얼마나 중요한 역할을 하는지를 설명했습니다. 그의 발언은 시간을 통한 자산 증식에 대한 통찰을 제공합니다.
4. 존 D. 록펠러
복리를 제대로 활용하는 사람이 진정한 부자가 된다.
록펠러는 자산 축적의 핵심으로 복리를 이야기했습니다. 그는 재정적인 성공을 이루는데 있어 복리의 힘을 믿었으며, 이를 통해 자신이 얼마나 큰 자산을 구축했는지를 강조했습니다.
5. 찰리 멍거
복리의 개념을 제대로 이해하고 사용하는 사람은 그 자체로 위대한 투자자가 된다.
버크셔 해서웨이의 부회장인 찰리 멍거는 복리의 중요성을 투자에서의 핵심 원칙으로 강조합니다. 그에 따르면, 복리의 개념을 잘 이해하고 이를 활용하는 것은 투자자의 성공을 결정짓는 중요한 요소입니다.
이러한 유명인들의 발언만 보아도 복리가 단순히 이자 계산의 개념을 넘어, 자산을 축적하는 강력한 도구로 자리잡게 되었음을 보여줍니다. 복리의 힘을 이해하고 이를 적절히 활용하는 것이 재정적 자유를 이루는 중요한 길이 될 수 있습니다.

1. 원금 : 처음 투자한 금액
2. 이자율 : 일정 기간 동안 적용되는 이자 비율
3. 기간 : 이자가 얼마나 오래 적용될지에 대한 시간 (일반적으로 연 단위로 계산)
4. 이자 계산 주기 : 이자가 얼마나 자주 계산되고 적용되는지
복리 계산에서 중요한 점은 이자 자체에도 이자가 붙는다는 것입니다. 예를 들어, 원금이 1000원이고 연이자율이 10%인 경우, 1년 후 이자는 100원이지만, 2년 후에는 원금 1000원과 1년 동안 생긴 100원(이자) 모두에 10%의 이자가 붙습니다. 결과적으로 2년 후에는 원금과 이자 합계에 대해 다시 이자가 계산되므로 이자는 더 많아집니다.
📍 복리 계산 공식
복리 계산을 위한 기본 공식은 다음과 같습니다.

- A : 최종 금액 (원금 + 이자)
- P : 원금
- r : 연이자율 (소수로 표현)
- n : 이자 계산 주기 (1년에 몇 번 계산되는지)
- t : 투자 기간 (년)
📍 예시
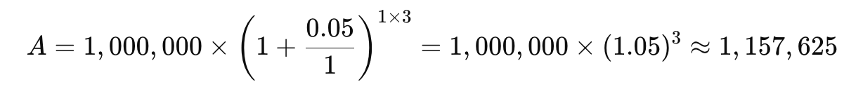
만약 1,000,000원을 연 이자율 5%로 3년 동안 투자한다고 가정합시다. 이자는 매년 한 번 계산 되며, 복리 방식으로 계산할 때의 최종 금액을 구할 수 있습니다.
- P : 1,000,000
- r : 0.05% (5%)
- n : 1 (1년 마다 이자 계산)
- t : 3 (3년 동안)
위 공식을 대입하면,

➡️ 따라서 3년 후에는 약 1,157,625원이 됩니다.
1. 시간이 갈수록 이자 수익이 증가 : 복리는 시간이 지날수록 자산을 더 많이 불려주기 때문에 장기적인 투자에서 특히 중요합니다. 시간이 길어질수록 복리 효과가 커집니다.
2. 주기적으로 계산된 이자 : 이자 계산이 한 번에 이루어지는 단리와 달리, 복리는 이자 기간마다 계산되므로 이자 수익이 누적됩니다.
3. 자산 성장의 가속화 : 복리는 경제학에서 자산을 불리는 가장 효과적인 방법으로, 초기 투자 금액이 작더라도 시간이 지나면 상당한 차이를 만들어냅니다.
1. 높은 리스크 : 복리로 인해 예상보다 더 큰 이득을 얻을 수 있지만, 이는 동시에 큰 리스크를 수반할 수 있습니다. 예를 들어, 원금에 높은 이자를 붙이는 투자에 실패하면 원금 손실이 커질 수 있습니다.
2. 이자 부담 : 대출 시 복리 방식은 대출자에게 불리할 수 있습니다. 이자 계산이 계속해서 이루어지므로 대출금이 빠르게 불어날 수 있습니다.
복리는 금융에서 매우 중요한 개념으로, 투자자나 대출자가 어떤 방식으로 이자 계산이 이루어지는지 이해하는 것이 중요합니다.
미성년 자녀를 위한 장기 투자용 미국 ETF추천 :: 복리의 효과 누리기
안녕하세요. 공부하는 경제 블로거 차차 입니다. 재테크에 관심 있으시다면,아마도 한 번 쯤은 '복리의 효과'에 대해 들어보셨을 거에요. 먼저 복리란,이자가 원금에 합산되어 이자에도 추가
todayeverydaylucky.com
| 미래를 위한 재테크 | 2025년 유망 산업과 그에 따른 투자기회 (4) | 2025.03.26 |
|---|---|
| 재테크에 도움이 되는 유튜브 채널 추천 (12) | 2025.03.25 |
| 재테크 시작하고 싶다면 봐야 할 5단계 (12) | 2025.03.24 |
| 미성년 자녀를 위한 장기 투자용 미국 ETF추천 :: 복리의 효과 누리기 (12) | 2025.03.20 |
| 외워두면 좋을 경제 용어 100선 (6) | 2025.03.19 |